Product Summary

Image Products >> Product Log >> Summary
Product Identification
Real User Lisbeth Fogh Olsen
Product Creation Date 02-Nov-2004
Product Creation Time 21:05:32
User eisdata
Session 70206
Process 5000010
Product Type stack
Survey XMM
Telescope MPI-2.2
Instrument WFI
Region XMM-06
Field SHARC-2
Passband R
Total Exposure Time (seconds) 14998
Associated Catalog
Product Type Single Passband Catalog
Product Name N/A
Summary at-a-glance
Instrument WFI
ESO Filter# #844
Right Ascension (hh:mm:ss.s) 05:05:14.3
Declinaton (dd:mm:ss.s) -28:48:35
Number of Contributing Frames 6
Interval between First/Last Contributing Frames (days) 87.92
Airmass 0.0
Final Pixel Scale of Product 0.24
Measured Seeing (arcsec) 0.84
PSF Distortion (rms) 0.06
Astrometry/Reference Grid
Projection TAN
Orientation (default is North up; East left) DEFAULT
Astrometric System GSC2.2
Reference Pixel: X 2173.0
Reference Pixel: Y 1463.0
Photometry
Number of nights with independent zeropoints 3
Zeropoint of Product (Vega magnitudes) 24.396
Zeropoint Error (Zp error) 0.01
.

Attributes

Image Products >> Product Log >> Attributes
Product Identification
Real User Lisbeth Fogh Olsen
Product Creation Date 02-Nov-2004
Product Creation Time 21:05:32
User eisdata
Session 70206
Process 5000010
Product Type stack
Survey XMM
Telescope MPI-2.2
Instrument WFI
Region XMM-06
Field SHARC-2
Passband R
Total Exposure Time (seconds) 14998
General Properties
Right Ascension (decimal degrees) 76.3096
Declination (decimal degrees) -28.81
Galactic Longitude, l 230.6439
Galactic Latitude, b -34.6323
Total Exposure Time (seconds) 14998
Number of Contributing Frames 6
First Contributing Frame MJD 52578.2103
Lsat Contributing Frame MJD 52666.1318
First Contributing Frame Civil Date 2002-10-31
Last Contributing Frame Civil Date 2003-01-27
Interval between First/Last Contributing Frames (days) 87.92
Number of Photometric Contributing Frames 5
Number of Rejected Frames 0
Number of Stacked Frames 6
Effective Gain 32057.8
Effective Non-linearity N/A
Effective Saturation N/A
Area of maximum overlap in stacked image (arcmin2) 1043.0
Fraction of instrument FOV of area of stacked image with maximum overlap 0.9
Aperture Limiting Magnitudes
Aperture (arcsec) 1 sigma 2 sigma 3 sigma 4 sigma 5 sigma
1.0 28.116 27.366 26.926 26.606 26.366
2.0 27.326 26.576 26.136 25.816 25.576
3.0 26.886 26.136 25.696 25.386 25.136
4.0 26.086 25.336 24.896 24.576 24.336
5.0 25.586 24.836 24.396 24.086 23.846
6.0 25.266 24.516 24.076 23.756 23.516
PSF
Measured Seeing (arcsec) 0.843
Measured Seeing (pixels) 3.541
PSF Distortion along X-axis (E-W), e1 -0.003
PSF Distortion along Y-axis (N-S), e2 -0.0
PSF Distortion rms 0.059
Pixel Distribution
Mean Count (ADU) 0.064
Standard Deviation of Count (ADU) 2.256
Mean Sigma-Clipped Background Count (ADU) -0.002
Standard Deviation of Sigma-Clipped Background Count (ADU) 0.01
.

Stack Blocks

Image Products >> Product Log >> Stack Blocks
Product Identification
Real User Lisbeth Fogh Olsen
Product Creation Date 02-Nov-2004
Product Creation Time 21:05:32
User eisdata
Session 70206
Process 5000010
Product Type stack
Survey XMM
Telescope MPI-2.2
Instrument WFI
Region XMM-06
Field SHARC-2
Passband R
Total Exposure Time (seconds) 14998
Stack Blocks (SB)
Number of Original Frames Input 6
Number of Photometric Frames 5
Number of Rejected Frames 0
Number of Stacked Frames 6
Mean Airmass of Contributing Frames 1.05
Mean Seeing of Contributing Frames (arcsec) 0.928
Mean of rms PSF Distortions of Contributing Frames 0.123
Mean Sky Brightness of Contributing Frames (magnitudes/arcsec2) 20.71
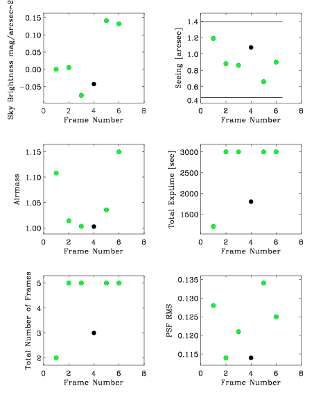
Frames in SB: Observations
# R.A. Dec. Passband MJD Civil Date Airmass Total Exposure Time
1 76.311655 -28.80274 R 52578.2103445 2002-10-31 1.10800665649 1199.8349
2 76.308768 -28.81366 R 52580.2431074 2002-11-02 1.01417265261 2999.5872
3 76.313901 -28.79217 R 52580.2861192 2002-11-02 1.00306971778 2999.5753
4 76.306639 -28.82449 R 52587.275512 2002-11-09 1.00259102352 1799.7521
5 76.305904 -28.82411 R 52666.083946 2003-01-27 1.03559409277 2999.5869
6 76.310966 -28.80258 R 52666.1317983 2003-01-27 1.14951203953 2999.5873
Frames in SB: Properties
# Instrument Filter Pixel Scale NDIT Astrometric System Photometric Flag Visual Flag Automatic Flag
1 WFI #844 0.238 2 GSC2.2 PHOTOM A
2 WFI #844 0.238 5 GSC2.2 PHOTOM A
3 WFI #844 0.238 5 GSC2.2 PHOTOM A
4 WFI #844 0.238 3 GSC2.2 - A
5 WFI #844 0.238 5 GSC2.2 PHOTOM A
6 WFI #844 0.238 5 GSC2.2 PHOTOM A
Frames in SB: Attributes
# Seeing (arcsec) PSF Distortion (rms) Sky Brightness (magnitudes/arcsec2) Limiting magnitude (5 sigma - 2 arcsec)
1 1.19 0.128 20.61 N/A
2 0.88 0.114 20.63 N/A
3 0.86 0.121 20.55 N/A
4 1.08 0.114 20.72 N/A
5 0.66 0.134 20.73 N/A
6 0.9 0.125 20.72 N/A
Frames in SB: Photometry (Vega)
# MJD. Civil Date Solution Type Zeropoint Zp error Extinction Chi2
1 52577.625 2002-10-30 N/A 24.41 0.004 0.085 0.0164
2 52579.625 2002-11-01 N/A 24.41 0.021 0.079 0.021
3 52579.625 2002-11-01 N/A 24.41 0.021 0.079 0.021
4 52587.275512 2002-11-09 N/A 24.47 -2.0 0.07 -2.0
5 52665.625 2003-01-26 N/A 24.38 0.047 0.079 0.0469
6 52665.625 2003-01-26 N/A 24.38 0.047 0.079 0.0469
Frames in SB: Astrometry
# Projection Orientation Astrometric Reference Catalogue Reference Pixel: X Reference Pixel: Y Reference Pointing: Right Ascension Reference Pointing: Declination
1 TAN DEFAULT GSC2.2 1533.0 1324.0 76.5 -29.0
2 TAN DEFAULT GSC2.2 2013.0 1422.0 76.5 -29.0
3 TAN DEFAULT GSC2.2 2041.0 1425.0 76.5 -29.0
4 TAN DEFAULT GSC2.2 1645.0 1400.0 76.5 -29.0
5 TAN DEFAULT GSC2.2 2173.0 1463.0 76.5 -29.0
6 TAN DEFAULT GSC2.2 2102.0 1433.0 76.5 -29.0
.

Calibration

Image Products >> Product Log >> Calibration
Product Identification
Real User Lisbeth Fogh Olsen
Product Creation Date 02-Nov-2004
Product Creation Time 21:05:32
User eisdata
Session 70206
Process 5000010
Product Type stack
Survey XMM
Telescope MPI-2.2
Instrument WFI
Region XMM-06
Field SHARC-2
Passband R
Total Exposure Time (seconds) 14998
USNO x GSC2
Catalog Symbol Number of Objects Brightest Magnitude Faintest Magnitude
Night Solutions
# Airmass Zeropoint Zp error Extinction Chi2 Flux Scale
1 1.11 24.41 0.0 0.09 0.016 1.09
2 1.01 24.41 0.02 0.08 0.021 1.08
3 1.0 24.41 0.02 0.08 0.021 1.08
5 1.04 24.38 0.05 0.08 0.047 1.08
6 1.15 24.38 0.05 0.08 0.047 1.09
Image Products: Calibration: Stack Non-Photometric...
# Airmass Zeropoint Zp error Extinction Chi2 Flux Scale
4 1.0 24.47 -2.0
Relative Photometry
Overlap Information
Number of Fields 1
Number of Overlaps 6
Magnitude differences in overlaps
Overlap ID Fields Number of Objects Magnitude Difference Standard deviation Area
1 1,2 697 0.051 0.135 23.04
2 1,3 994 0.022 0.131 19.27
3 1,4 964 0.027 0.125 19.5
4 1,5 1025 -0.038 0.133 15.82
5 1,6 942 -0.006 0.128 22.82
Distribution of Magnitude Differences: Tij
Mean Magnitude Difference 0.011
Standard Deviation 0.034
.

Verification

Image Products >> Product Log >> Verification
Product Identification
Real User Lisbeth Fogh Olsen
Product Creation Date 02-Nov-2004
Product Creation Time 23:28:28
User eisdata
Session 70206
Process N/A
Product Type Stack
Survey XMM
Telescope MPI-2.2
Instrument WFI
Region XMM-06
Field SHARC-2
Passband R
Total Exposure Time (seconds) 14997.9237

Comparison

Comparison
Product Identification
Real User Lisbeth Fogh Olsen
Product Creation Date 02-Nov-2004
Product Creation Time 23:01:00
User eisdata
Session 70206
Workflow N/A
Process N/A
Product Type Comparison
Survey XMM
Telescope MPI-2.2
Instrument WFI
Region XMM-06
Field SHARC-2
Passband R
Total Exposure Time (seconds) 14997.9237
.

QC Parameters

Image Products >> Product Log >> Quality Control Parameters (Image QCP)
.